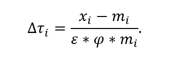
台灣時間2025/4/2凌晨,美國公佈「對等關稅(Reciprocal Tariff)」政策,與一般對此政策「你收我我多少關稅,我就收你多少關稅」的理解不同,白宮在新聞稿中解釋:「美國與每個貿易夥伴之間的雙邊貿易逆差,設定能夠平衡該逆差所需的關稅稅率」,並提出了下列公式,右邊是翻譯:


在白宮新聞稿中,把「進口需求彈性(ε)」定為4、「出口供給彈性(φ)」定為0.25,使得兩者相乘成為一個「固定係數」註釋,而且就是「1」,所以公式也可簡化為:
進口需求彈性(Price Elasticity of Import Demand)與出口供給彈性(Price Elasticity of Export Supply)一般分別反映特定商品的價格變動,對消費者和外國供應商的影響,每一種商品的敏感度不同,也會有不同的結果,現在白宮卻拿來計算「一國全部的商品」,而且全球所有的商品全部都是一個定植,這難免讓人疑惑。
增稅幅度=(出口額–進口額)/進口額
也就是說,該國對美國商品收多少關稅,和該國對美國商品收多少關稅,沒有直接關係,而是取決於這個國家對美國的逆差大小;如此,可以解釋,在美國的主要貿易夥伴中,台灣的關稅相對不高,但為什麼卻被課徵高達32%的關稅,主要的原因,還是台灣對美高額的貿易逆差所導致參考。